鄧老師留下這樣的話語,平拋運動它屬于力學跟能量綜合起來的那種堪稱黃金的載體,要是掌握了其中那個核心的邏輯,就能夠破解百分之三十那么多的力學壓軸題目。在這篇文章中,融合進了個人所擁有的教學方面的經驗,借助思維導圖這種方式,去構建起知識體系,還獨創了“三維解析法”,直接針對2026年嶄新的考向。
鄧老師總結的思維導圖:

一、 核心知識點總結
定義是高中物理電場平拋運動,把物體以一定的初速度,朝著水平方向拋出,僅僅在重力的作用之下,所做的那種曲線運動 。
2.運動性質:

3.平拋運動7大必考結論速記表


二、核心二級結論速查(附證明)



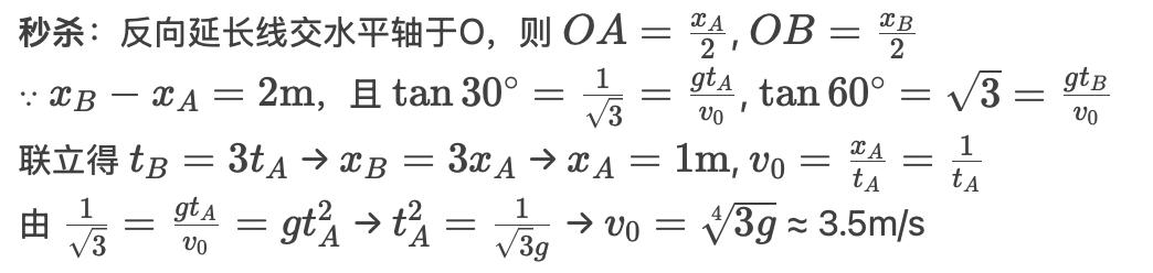
在平拋運動的軌跡之上,存在著A、B這兩個點,其速度方向所形成的角分別是30°以及60°,A、B兩點在水平方向上的距離是2m,據此來求平拋運動的初速度V0 。

三、斜面平拋模型全突破



問題:以多大V0平拋可垂直擊中斜面?

四、創新題型:電場中的類平拋

五、高頻易錯點警示錄,一),概念理解錯誤,(占比45%),混淆位移角跟速度角,誤用飛行時間公式,。
t = √(2h/g)僅適用于落點與拋出點等高!

(二)計算失誤(占比38%)

在計算時,把斜面的長度當作是水平方向的位移高中物理電場平拋運動,這是不正確的,正確的應該是,x等于L乘以cosβ,y等于L乘以sinβ 。
在斜面上平拋時,未沿斜面與垂直斜面分解
六、2026高考命題趨勢與壓軸題預測

七、鄧老師解題心得:
終極心法:
做平拋運動的本質是有著運動的其獨立性原理物業經理人,這種思想會貫穿整個物理學,對于復雜問題必定要先進行分解而后再合成其中優先需去求時間tt,具體來講itt是連接著水平與豎直方向的那把“鑰匙”,有關于2025年高考的大數據顯示,斜面平拋模型在各個省份試卷里出現的概率高達78% 。
謹記:善用二級結論如虎添翼,但推導過程才是物理之本!

附:鄧老師總結平拋運動5類模型手工筆記!!!

